156. Binary Tree Upside Down
Description
Given the root
of a binary tree, turn the tree upside down and return the new root.
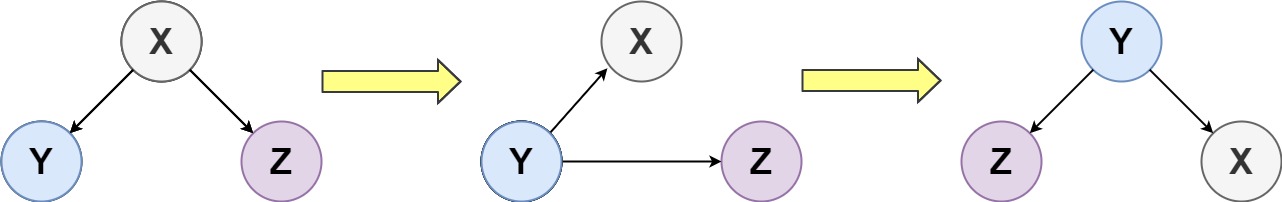
You can turn a binary tree upside down with the following steps:
The original left child becomes the new root.
The original root becomes the new right child.
The original right child becomes the new left child.

The mentioned steps are done level by level, it is guaranteed that every node in the given tree has either 0 or 2 children.
Constraints
The number of nodes in the tree will be in the range
[0, 10]
.1 <= Node.val <= 10
Every node has either 0 or 2 children.
Approach
Links
ProgramCreek
YouTube
Examples
Input: root = [1, 2, 3, 4, 5]
Output: [4, 5, 2, null, null, 3, 1]

Solutions
// Definition for a binary tree node.
public class TreeNode {
int val;
TreeNode left;
TreeNode right;
TreeNode() {}
TreeNode(int val) {
this.val = val;
}
TreeNode(int val, TreeNode left, TreeNode right) {
this.val = val;
this.left = left;
this.right = right;
}
}
Follow up
Last updated
Was this helpful?